搜索
首页
部门概况
部门职责
各科室职责
工作人员
党建工作
党建工作
师德师风
制度文件
师德模范
警示教育
监督举报
师资队伍
甘肃省市领军人才
陇原青年英才
高层次人才名录
教师荣誉
职称评审
职称政策
任职资格
职称聘任
诚聘英才
人才引进
政策制度
考勤考核
师资培养
评奖选先
劳资社保
其他类型
服务指南
入职报道
职称评审
考核聘任
证明开具
教师资格证
办事流程
首页
部门概况
部门职责
各科室职责
工作人员
党建工作
党建工作
师德师风
制度文件
师德模范
警示教育
监督举报
师资队伍
甘肃省市领军人才
陇原青年英才
高层次人才名录
教师荣誉
职称评审
职称政策
任职资格
职称聘任
诚聘英才
人才引进
政策制度
考勤考核
师资培养
评奖选先
劳资社保
其他类型
服务指南
入职报道
职称评审
考核聘任
证明开具
教师资格证
办事流程
职称政策
任职资格
职称聘任
职称聘任
当前位置:
首页
->
职称评审
->
职称聘任
->
正文
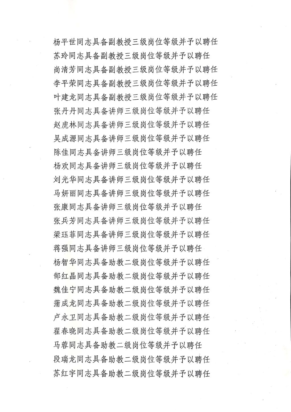
关于崔峰等32名同志聘任相应岗位等级的通知
发布日期:2019-12-31
上一条:
关于刘珂等17名同志具备相应职称职资格的通知
下一条:
关于张少飞等18名同志具备相应职称资格的通知